Hannō Station
Hannō Station (飯能駅, Hannō-eki) is a passenger railway station located in the city of Hannō, Saitama, Japan, operated by the private railway operator Seibu Railway.
SI26 Hannō Station 飯能駅 | ||||||||||||||||||||||||||||||||||||||||
|---|---|---|---|---|---|---|---|---|---|---|---|---|---|---|---|---|---|---|---|---|---|---|---|---|---|---|---|---|---|---|---|---|---|---|---|---|---|---|---|---|
![]() Hannō Station south exit in June 2010 | ||||||||||||||||||||||||||||||||||||||||
| General information | ||||||||||||||||||||||||||||||||||||||||
| Location | 11-21 Nakachō, Hannō-shi, Saitama-ken 357-0035 Japan | |||||||||||||||||||||||||||||||||||||||
| Coordinates | 35°51′05″N 139°19′06″E | |||||||||||||||||||||||||||||||||||||||
| Operated by | ||||||||||||||||||||||||||||||||||||||||
| Line(s) | ||||||||||||||||||||||||||||||||||||||||
| Distance | 43.7 km from Ikebukuro | |||||||||||||||||||||||||||||||||||||||
| Platforms | 1 side + 2 island platforms | |||||||||||||||||||||||||||||||||||||||
| Connections | Bus stop | |||||||||||||||||||||||||||||||||||||||
| Other information | ||||||||||||||||||||||||||||||||||||||||
| Station code | SI26 | |||||||||||||||||||||||||||||||||||||||
| History | ||||||||||||||||||||||||||||||||||||||||
| Opened | 15 April 1915 | |||||||||||||||||||||||||||||||||||||||
| Passengers | ||||||||||||||||||||||||||||||||||||||||
| FY2019 | 32,929 daily | |||||||||||||||||||||||||||||||||||||||
| ||||||||||||||||||||||||||||||||||||||||
| Location | ||||||||||||||||||||||||||||||||||||||||
![]() Hannō Station Location within Saitama Prefecture | ||||||||||||||||||||||||||||||||||||||||
Lines
Hannō Station is served by the Seibu Ikebukuro Line from Ikebukuro in Tokyo, with some services inter-running via the Tokyo Metro Yurakucho Line to Shin-Kiba and the Tokyo Metro Fukutoshin Line to Shibuya and onward via the Tokyu Toyoko Line and Minato Mirai Line to Motomachi-Chukagai. Located between Motokaji and Higashi-Hannō, it is 43.7 km from the Ikebukuro terminus.[1] Hannō is a terminating station, with trains continuing to Seibu-Chichibu reversing here.[2]
Service pattern
All train services stop at this station.
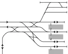
Station layout


The station consists of one ground-level side platform and two island platforms, serving a total of four terminating tracks.[2]
Platforms
| 1 | ■ Seibu Ikebukuro Line | for Tokorozawa, Nerima, and Ikebukuro Tokyu Toyoko Line for Yokohama Minatomirai Line for Motomachi-Chukagai |
| 2/3 | ■ Seibu Ikebukuro Line | for Seibu-Chichibu |
| 4 | ■ Seibu Ikebukuro Line | for Tokorozawa, Nerima, and Ikebukuro Tokyu Toyoko Line for Yokohama Minatomirai Line for Motomachi-Chukagai |
| 5 | ■ Seibu Ikebukuro Line | for Tokorozawa and Ikebukuro (Limited express services for Seibu-Chichibu (Limited express services) |
History

The station opened on 15 April 1915.[1]
Station numbering was introduced on all Seibu Railway lines during fiscal 2012, with Hannō Station becoming "SI26".[3]
Through-running to and from Yokohama and Motomachi-Chukagai via the Tokyu Toyoko Line and Minatomirai Line commenced on 16 March 2013.[4]
Passenger statistics
In fiscal 2019, the station was the 30th busiest on the Seibu network with an average of 32,929 passengers daily.[5] The passenger figures for previous years are as shown below.
| Fiscal year | Daily average |
|---|---|
| 2000 | 37,156[1] |
| 2009 | 34,106[6] |
| 2010 | 32,932[7] |
| 2011 | 32,293[8] |
| 2012 | 32,463[9] |
| 2013 | 32,897[9] |
Surrounding area
North exit
- Higashi-Hannō Station
National Route 299- Seibou Gakuen High School & Junior High School
- Saitama Prefectural Hannō High School
South exit
See also
References
- Terada, Hirokazu (July 2002). データブック日本の私鉄 [Databook: Japan's Private Railways]. Japan: Neko Publishing. p. 201. ISBN 4-87366-874-3.
- Kawashima, Ryozo (February 2011). 日本の鉄道 中部ライン 全線・全駅・全配線 第11巻 埼玉南部・東京多摩北部 [Railways of Japan - Chubu Line - Lines/Stations/Track plans - Vol 11 Southern Saitama and Northern Tama Tokyo]. Japan: Kodansha. pp. 19–73. ISBN 978-4-06-270071-9.
- 西武線全駅で駅ナンバリングを導入します [Station numbering to be introduced at all Seibu stations] (PDF). News Release (in Japanese). Japan: Seibu Railway. 23 February 2012. Archived from the original (PDF) on 2015-09-24. Retrieved 22 February 2013.
- 東急東横線・メトロ副都心線相互直通、16日スタート [Tokyu Toyoko Line and Tokyo Metro Fukutoshin Line inter-running to start on 16 March]. Nikkei.com (in Japanese). Japan: Nikkei Inc. 15 March 2013. Retrieved 2 April 2013.
- 駅別乗降人員(2019年度1日平均 [Average daily station usage figures (fiscal 2019)] (PDF) (in Japanese). Japan: Seibu Railway. Retrieved 6 January 2021.
- 駅別乗降人員 2010(平成22)年度 1日平均 [Average daily station usage figures (fiscal 2010)] (PDF) (in Japanese). Japan: Seibu Railway. Archived from the original (PDF) on 26 June 2011. Retrieved 22 February 2013.
- 各駅の乗車人員 (2010年度) [Station passenger figures (Fiscal 2010)] (in Japanese). Japan: East Japan Railway Company. Retrieved 22 February 2013.
- 駅別乗降人員 2011(平成23)年度 1日平均 [Average daily station usage figures (fiscal 2011)] (PDF) (in Japanese). Japan: Seibu Railway. Archived from the original (PDF) on 1 November 2012. Retrieved 22 February 2013.
- 駅別乗降人員 2013(平成25)年度 1日平均 [Average daily station usage figures (fiscal 2013)] (PDF) (in Japanese). Japan: Seibu Railway. Archived from the original (PDF) on 14 July 2014. Retrieved 22 June 2014.
External links
Media related to Hannō Station at Wikimedia Commons
- Hannō Station information (Seibu Railway) (in Japanese)
- Hannō Station information (Saitama Prefectural Government) (in Japanese)

