Bemegride
Bemegride (trademarked as Megimide) is a central nervous system stimulant.[1] The drug was first made in 1911.[2] It has been used in hypnotic overdose.[1]
![]() | |
| Clinical data | |
|---|---|
| Trade names | Migimide, others |
| Other names | Methetharimide β,β-methylethylglutarimide |
| AHFS/Drugs.com | International Drug Names |
| ATC code | |
| Legal status | |
| Legal status |
|
| Identifiers | |
| |
| CAS Number | |
| PubChem CID | |
| ChemSpider | |
| UNII | |
| KEGG | |
| ChEMBL | |
| CompTox Dashboard (EPA) | |
| ECHA InfoCard | 100.000.535 |
| Chemical and physical data | |
| Formula | C8H13NO2 |
| Molar mass | 155.197 g·mol−1 |
| 3D model (JSmol) | |
| Melting point | 127 °C (261 °F) |
| |
| |
| (verify) | |
As with other chemoreceptor agonists, it is a potent emetic at doses above those normally used in management of barbiturate overdose although emesis and aspiration are a concern during treatment.
It is a controlled substance in some countries.[1]
Animal use
Bemegride is also used to induce convulsions in experimental animals.[3]
Synthesis

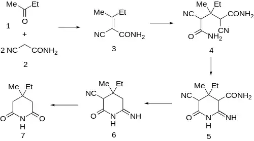
The original synthesis involves first the condensation of methylethylketone with two equivalents of cyanoacetamide. The product can be rationalized by assuming first aldol condensation of ketone and active methylene compound followed by dehydration to give 3. Conjugate addition of a second molecule of cyanoacetamide would afford 4. Addition of one of the amide amines to the nitrile would then afford the iminonitrile 5. The observed product 6 can be rationalized by assuming loss of the carboxamide under strongly basic conditions. Decarboxylative hydrolysis of 6 then leads to bemigride 7.
John Bodkin Adams case
Bemegride was the drug which suspected serial killer Dr John Bodkin Adams who failed to prescribe correctly to his patient Gertrude Hullett. Hullett took an overdose of barbiturates on 19 July 1956 but Adams only gave her a single 10cc dose of bemegride three days later on the 22nd, despite having acquired 100cc for her treatment. Hullett died the next day on 23 July 1956. Adams was charged but never tried for her murder.[4]
References
- Hofmeister A (2000). Analeptics. Ullmann's Encyclopedia of Industrial Chemistry. pp. 1–2. doi:10.1002/14356007.a02_267.
- Thole FB, Thorpe JF (1911). "LIII.—The formation and reactions of iminocompounds. Part XV. The production of imino-derivatives of piperidine leading to the formation of the ββ-disubstituted glutaric acids". Journal of the Chemical Society, Transactions. 99: 422–448. doi:10.1039/CT9119900422.
- Definition: bemegride from Online Medical Dictionary
- Cullen, Pamela V., A Stranger in Blood: The Case Files on Dr John Bodkin Adams, London, Elliott & Thompson, 2006, ISBN 1-904027-19-9
