Amurensin A
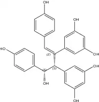
Amurensin A is an oligostilbene isolated from the roots of Vitis amurensis.[1] It is a partially oxidized resveratrol dimer with a C8-C8' connection.[2]
![]() | |
| Names | |
|---|---|
| IUPAC name
5,5'-((3S,4S,Z)-4-hydroxy-1,4-bis(4-hydroxyphenyl)but-1-ene-2,3-diyl)bis(benzene-1,3-diol) | |
| Identifiers | |
3D model (JSmol) |
|
PubChem CID |
|
| |
| |
| Properties | |
| C28H24O7 | |
| Molar mass | 472.48 g/mol |
Except where otherwise noted, data are given for materials in their standard state (at 25 °C [77 °F], 100 kPa).
Infobox references | |
References
- Huang, K. S.; Lin, M. (1999). "Oligostilbenes from the Roots of Vitis amurensis". Journal of Asian Natural Products Research. 2 (1): 21–28. doi:10.1080/10286029908039886. PMID 11261202.
- Natural stilbenes: an overview. Tao Shen, Xiao-Ning Wang and Hong-Xiang Lou, Nat. Prod. Rep.,2009, 26, pages 916-935, doi:10.1039/B905960A
This article is issued from Wikipedia. The text is licensed under Creative Commons - Attribution - Sharealike. Additional terms may apply for the media files.
