Ginsenoside Rb1
Ginsenoside Rb1 (or Ginsenoside Rb1 or GRb1 or GRb1) is a chemical compound belonging to the ginsenoside family.
![]() | |
| Names | |
|---|---|
| IUPAC name
20-[β-D-Glucopyranosyl-(1→6)-β-D-glucopyranosyloxy]-12β-hydroxydammar-24-en-3β-yl β-D-glucopyranosyl-(1→2)-β-D-glucopyranoside | |
| Preferred IUPAC name
(12S,13R,14S,15S,16R,32R,33R,34S,35S,36R,51S,53aR,53bR,55aR,57S,59aR,59bR,511R,511aR,6S,82S,83R,84S,85S,86R,112R,113R,114S,115R,116R)-16,36,116-Tris(hydroxymethyl)-53a,53b,56,56,59a,6-hexamethyl-6-(4-methylpent-3-en-1-yl)hexadecahydro-51H-2,4,7,10-tetraoxa-1,11(2),3(3,2),8(2,6)-tetrakis(oxana)-5(7,1)-cyclopenta[a]phenanthrenaundecaphane-13,14,15,34,35,511,83,84,85,113,114,115-dodecol | |
| Other names | |
| Identifiers | |
3D model (JSmol) |
|
| ChEBI | |
| ChemSpider | |
| DrugBank | |
| ECHA InfoCard | 100.050.466 |
| KEGG | |
PubChem CID |
|
| UNII | |
| |
| |
| Properties | |
| C54H92O23 | |
| Molar mass | 1109.307 g·mol−1 |
| Hazards | |
| GHS labelling: | |
![]() | |
| Warning | |
| H302, H312, H332 | |
| P261, P264, P270, P271, P280, P301+P312, P302+P352, P304+P312, P304+P340, P312, P322, P330, P363, P501 | |
Except where otherwise noted, data are given for materials in their standard state (at 25 °C [77 °F], 100 kPa).
Infobox references | |
Like other ginsenosides, it is found in the plant genus Panax (ginseng), and has a variety of potential health effects including anticarcinogenic, immunomodulatory, anti‐inflammatory, antiallergic, antiatherosclerotic, antihypertensive, and antidiabetic effects as well as antistress activity and effects on the central nervous system.[3]
Pharmacological effects
A 1998 study by Seoul National University reported that GRb1 and GRg3 (ginsenosides Rb1 and Rg3) significantly attenuated glutamate-induced neurotoxicity by inhibiting the overproduction of nitric oxide synthase among some other findings regarding their neuroprotective properties.[4]
In 2002, the Laboratory for Cancer Research in Rutgers University showed that GRb1 and GRg1 have neuroprotective effect for spinal cord neurons, while ginsenoside Re did not exhibit any activity. GRb1 and GRg1 are proposed to represent potentially effective therapeutic agents for spinal cord injuries.[5]
The protection that GRg1 (ginsenoside Rg1) and GRb1 offer against Alzheimer’s disease symptoms in mice was first published by researchers in 2015. The GRg1 affected three metabolic pathways: the metabolism of lecithin, amino acids and sphingolipids, while GRb1 treatment affected lecithin and amino acid metabolism.[6]
It was reported in 2017 that GRb1 improved cardiac function and remodelling in heart failure in mice. The treatment of H-ginsenoside Rb1 potentially attenuated cardiac hypertrophy and myocardial fibrosis.[7]
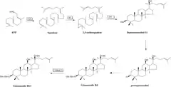
Proposed biosynthesis

The biosynthesis of GRb1 in Panax ginseng starts from farnesyl diphosphate (FPP), which is converted to squalene with squalene synthase (SQS), then to 2,3-oxidosqualene with squalene epoxidase (SE).
The 2,3-oxidasqualene is then converted to dammarenediol-II by cyclization, with dammarenediol-II synthase (DS) as the catalyst. The dammarenediol-II is converted to protopanaxadiol and then to ginsenoside Rd.
Finally, GRb1 is synthesized from ginsenoside Rd, catalysed by UDPG:ginsenoside Rd glucosyltransferase (UGRdGT), a biosynthetic enzyme of GRb1 first discovered in 2005.[8][9][10]
References
- PubChem. "Ginsenoside rb1 - Depositor-Supplied Synonyms". pubchem.ncbi.nlm.nih.gov. Retrieved 2020-07-24.
- "Common Chemistry - Substance Details - 41753-43-9". www.commonchemistry.org. Retrieved 2020-07-29.
- Christensen, L. P. (2008). "Chapter 1 Ginsenosides: Chemistry, Biosynthesis, Analysis, and Potential Health Effects". Advances in Food and Nutrition Research. 55: 1–99. doi:10.1016/S1043-4526(08)00401-4. PMID 18772102.
- Kim, Young C.; Kim, So R.; Markelonis, George J.; Oh, Tae H. (1998). "Ginsenosides Rb1 and Rg3 protect cultured rat cortical cells from glutamate-induced neurodegeneration". Journal of Neuroscience Research. 53 (4): 426–432. doi:10.1002/(SICI)1097-4547(19981001)54:1<123::AID-JNR13>3.0.CO;2-8. ISSN 1097-4547. PMID 9710262 – via Wiley Online Library.
- Liao, Baisong; Newmark, Harold; Zhou, Renping (February 2002). "Neuroprotective Effects of Ginseng Total Saponin and Ginsenosides Rb1 and Rg1 on Spinal Cord Neurons in Vitro". Experimental Neurology. 173 (2): 224–234. doi:10.1006/exnr.2001.7841. PMID 11822886. S2CID 41239421.
- Li, Naijing; Zhou, Ling; Li, Wei; Liu, Ying; Wang, Jiahe; He, Ping (March 2015). "Protective effects of ginsenosides Rg1 and Rb1 on an Alzheimer's disease mouse model: A metabolomics study". Journal of Chromatography B. 985: 54–61. doi:10.1016/j.jchromb.2015.01.016. PMID 25660715.
- Zheng, Xian; Wang, Shuai; Zou, Xiaoming; Jing, Yating; Yang, Ronglai; Li, Siqi; Wang, Fengrong (2017). "Ginsenoside Rb1 improves cardiac function and remodeling in heart failure". Experimental Animals. 66 (3): 217–228. doi:10.1538/expanim.16-0121. ISSN 1341-1357. PMC 5543242. PMID 28367863.
- Huang, Chao; Zhong, Jian-Jiang (2013-08-01). "Elicitation of ginsenoside biosynthesis in cell cultures of Panax ginseng by vanadate". Process Biochemistry. 48 (8): 1227–1234. doi:10.1016/j.procbio.2013.05.019. ISSN 1359-5113.
- Yue, Cai-Jun; Zhong, Jian-Jiang (2005-02-20). "Impact of external calcium and calcium sensors on ginsenoside Rb1 biosynthesis by Panax notoginseng cells". Biotechnology and Bioengineering. 89 (4): 444–452. doi:10.1002/bit.20386. ISSN 0006-3592. PMID 15627250.
- Zhong, Jian-Jiang; Yue, Cai-Jun (2005), Nielsen, J. (ed.), "Plant Cells: Secondary Metabolite Heterogeneity and Its Manipulation", Biotechnology for the Future, Advances in Biochemical Engineering/Biotechnology, Springer, vol. 100, pp. 53–88, doi:10.1007/b136412, ISBN 978-3-540-31554-4, PMID 16270656

